3.4 KiB
Chapter 0
dont do np hard problems
Define
Computability Theory
1930s - 1950s
What can be computed?
Automata Theory
1930s - 1950s
How does making changes o the underlying model effect computational power?
Complexity Theory
1960s - Present
What is computable in practice?
P vs. NP
Graph Theory?
Define
Subgraph
Let G = \{V_G, E_G\} and H = \{V_H, E_H\}
G is a subgraph of H if
V_A = V_HE_G \subset E_H + \forall(v_1, v_2)
Path
Hits vertices in a graph
Simple Graph: only hits vertices once
Cycle: There's some sort of loop in the graph
Simple Cycle: Only repeated node is the first and last one
Tree
Directed Graph: a graph that is made up of a set of vertices connected by directed edges
Strongly Connected: A directed graph is strongly connected if a directed path connects every two nodes.
Strings & Languages
Alphabet: Non-empty finite set
Symbol: Member of alphabet
String: Sequence of symbols
Language: Set of strings
Lecture Jan 24
idk he was talking about proofs in stuff I wasn't paying attention
Lecture Jan 27
1.1 Finite Automata
One of the simplest models of computation is the finite state machine also called finite automata
Example
Smoke Alarm
| Sensors | Values |
|---|---|
| Smoke Sensor | Smoke, No smoke |
| Button | Not pressed, pressed |
State Diagram
State Transition Table
| No Smoke, unpressed | No smoke, pressed | Smoke, unpressed | Smoke, pressed | |
|---|---|---|---|---|
| No Alarm | No Alarm | No Alarm | Alarm | No Alarm |
| Alarm | No Alarm | No Alarm | Alarm | No Alarm |
Formal Definition of a Finite State Machine
A finite automaton is a 5 tuple (Q, \Sigma, \delta, q, F) where
- Q is a finite set called the states
\Sigmais a finite set called the alphabet\delta = Q \times \Sigma \rightarrow Qis the transition functionq \in Qis the start stateF \subset Qis the set of accept state
Lecture Jan 29
Define A language is called a regular language if some FSM recognizes it.
Lecture Feb 5
The transition function is taking in the current state (Q), a symbol (\Sigma), and outputs a new state (Q).
DFA - Determinant Finite Automata
\delta((q_{01}, q_2), b) = (\delta(q_{01}, b), \delta(q_2, b))
Lecture Feb 7th
^ NFA that accepts any string that has a zero three places from the end
Formal Definition of an NFA
An NFA is a 5 tuple (Q, \Sigma, \delta, q_o, F) where
Qis a finite set of states\Sigmais the alphabet\delta : Q \times \Sigma_\epsilon \rightarrow P(Q)q_0 \in Q
Lecture Feb 10th
When reading a particular symbol a in a state R_1 our DFA simulator will apply the following the transition f^n
\delta^1(R,a) = {r \in R} | \delta(r,a)
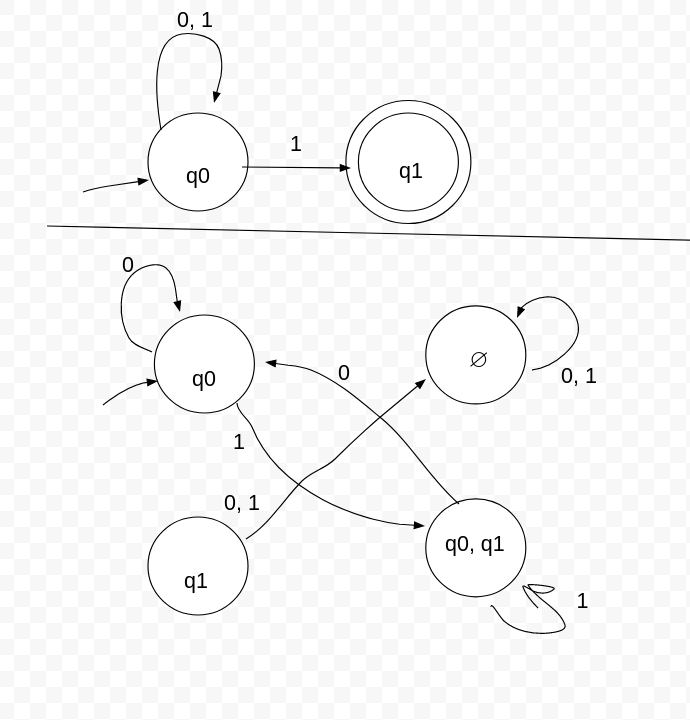
NFA to DFA example
Top is an NFA, lower is DFA version of it
Lecture Feb 14th
A^\star = \{x | x \in \{0, \text{None}\}\}
B^\star = \{x | x \in \{1, \text{None}\}\}
Is 01 \in \{A^\star \cup B^\star \}? No.
\{A^\star \cup B^\star \} = \{\{0\}^\star \cup \{1\}^\star \}
Is 01 \in (A \cup B)^\star? Yes.
= (0 \cup 1)^\star
A \cup B = \{0, 1\}
Empty set != empty string
\{\varnothing\} \neq \{\epsilon\}


