This website requires JavaScript.
Explore
Help
Register
Sign In
0x01FE
/
formal-notes
Watch
1
Star
0
Fork
0
You've already forked formal-notes
Code
Issues
Pull Requests
Actions
Packages
Projects
Releases
Wiki
Activity
formal-notes
/
NFA-to-DFA.png
0x01FE
647c69aa69
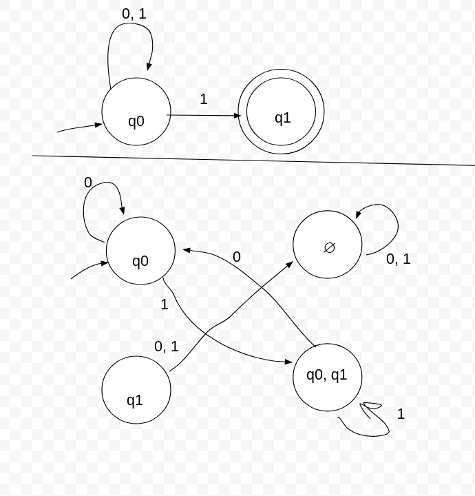
midterm review
2025-03-18 21:38:51 -05:00
51 KiB
690x720px
Raw
Permalink
History